Упр.260 ГДЗ Алимов 10-11 класс (Алгебра)
Решение #1
Решение #2

Рассмотрим вариант решения задания из учебника Алимов, Колягин, Ткачёва 10 класс, Просвещение:
260. 1) 2^(x+4) + 2^(x+2) = 5^(x+1) + 3*5x;
2) 5^2x - 7x-5^2x *17 + 7x *17=0;
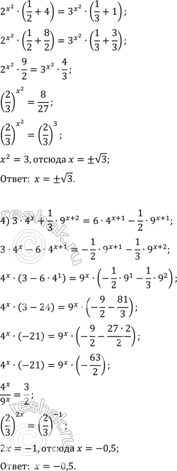
3) 2^(x2-1) - 3^x2 = 3^(x2-1) - 2^(x2+2);
4) 3*4x+1/3*9^(x+2) = 6* 4^(x+1) - 1/2 * 9^(x+1).
*размещая тексты в комментариях ниже, вы автоматически соглашаетесь с пользовательским соглашением