Упр.226 ГДЗ Алимов 10-11 класс (Алгебра)
Решение #1
Решение #2

Рассмотрим вариант решения задания из учебника Алимов, Колягин, Ткачёва 10 класс, Просвещение:
226. 1) 4*9x - 13*6x + 9*4x = 0;
2)16*9x - 25*12x + 9*16x=0;
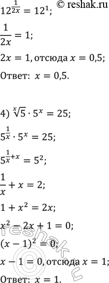
3) корень x степени 2 * корень 2x степени 3 = 12;
4) корень x степени 5 * 5x =25.
*размещая тексты в комментариях ниже, вы автоматически соглашаетесь с пользовательским соглашением